1.3 POBLACION POR PROVINCIAS

a) Poblaci\n Total

Segdn la divisi\n polRtico-administrativa, el departamento de Madre de Dios tiene 3 provincias y 9 distritos.

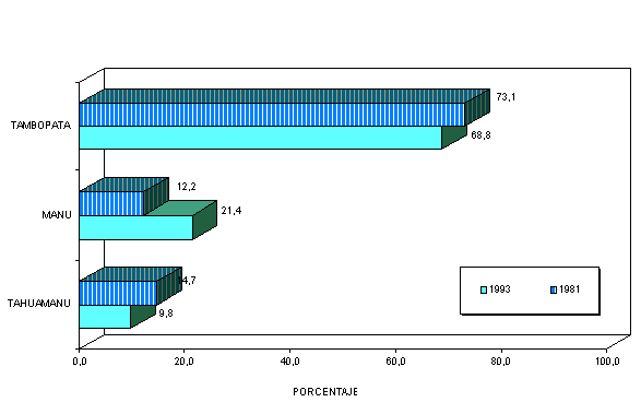
En el departamento de Madre de Dios, existe una desigual distribuci\n de la poblaci\n entre sus divisiones PolRtico-administrativa. La poblaci\n de la provincia de Tambopata (48,051 habitantes) es siete veces la poblaci\n de la provincia de Tahuamand (6,876 habitantes) que es la menos poblada del departamento y un poco m<s de tres veces la poblaci\n de Mand (14,927).

La provincia de Mand es la dnica que en el perRodo 1981 - 1993, incrementa su importancia relativa con respecto al total departamental. AsR en 1981 albergaba el 12,2% de la poblaci\n y en 1993 residen en ella el 21,4%. En cambio, las provincias de Tambopata y Tahuamand disminuyen su importancia poblacional en dicho perRodo intercensal.

CUADRO N1 1.4

DPTO. DE MADRE DE DIOS: DISTRIBUCION DE LA POBLACION TOTAL,
SEGUN PROVINCIAS: 1972, 1981 Y 1993.


PROVINCIA
POBLACION
1972
1981
1993
ABSOLUTO
%
ABSOLUTO
%
ABSOLUTO
%

TOTAL

TAMBOPATA

MANU

TAHUAMANU


25154

16993

1857

6304


100,0

67,5

7,4

25,1

35788

26164

4379

5245


100,0

73,1

12,2

14,7

69854

48051

14927

6876


100,0

68,8

21,4

9,8

FUENTE: INEI - Censos Nacionales de 1972, 1981 y 1993.

En tJrminos absolutos, entre 1981 y 1993, la poblaci\n de la provincia de Tambopata se incrementa en 21,887 personas, lo que equivale a 1,824 personas por aZo.

Las provincias de Mand y Tahuamand, en el mismo perRodo intercensal, aumentan en 879 y 136 personas por aZo, respectivamente.

La provincia de Mand que en 1981 ocupaba el tercer lugar, sube al segundo, desplazando a la provincia de Tahuamand. Actualmente la provincia de Mand es m<s del triple de la que tenRa en 1981 y poco m<s del doble de la de Tahuamand.

4

b) Crecimiento

Mand, es la provincia que crece m<s r<pidamente y se sitda muy por encima del promedio departamental (5,7%). En el perRodo intercensal 1972 - 1981 registr\ una tasa de crecimiento promedio anual de 9,9% y en el perRodo 1981 - 1993 aumenta a 10,8%.

Las provincias de Tambopata y Tahuamand crecen a una velocidad por debajo del promedio departamental, presentan tasas de crecimiento de 5,2% y 2,3%, respectivamente.

CUADRO N1 1.5

DPTO.DE MADRE DE DIOS: TASA DE CRECIMIENTO DE LA POBLACION TOTAL, SEGUN
PROVINCIAS: 1972-1981 y 1981-1993

PROVINCIA
TASA DE CRECIMIENTO ANUAL (%)
1972-1981
1981 - 1993
TOTAL

TAMBOPATA

MANU

TAHUAMANU

3,9

4,9

9,9

-0,2
5,7

5,2

10,8

2,3

                FUENTE: INEI - Censos Nacionales de 1972, 1981 y 1993.

Las provincias de Tambopata y Mand, aumentan ligeramente su velocidad de crecimiento con respecto al perRodo intercensal 1972 - 1981. La provincia de Tahuamand de tener una tasa de crecimiento negativa (-0,2%) en dicho perRodo, pasa a ser positiva en 1981 - 1993 (2,3%).

GRAFICO N1 1.5

DPTO. DE MADRE DE DIOS: TASA DE CRECIMIENTO, SEGUN PROVINCIAS: 1972-81 y 1981-93

5

c) Poblaci\n Urbana y Rural

La poblaci\n en los centros poblados urbanos del departamento de Madre de Dios representa el 57,4% del total, observ<ndose que en la provincia de Tahuamand el 68,0% de su poblaci\n se concentra en centros poblados urbanos, seguido de Tambopata, donde el 66,9% de su poblaci\n es urbana.

En el perRodo intercensal 1981-1993, las provincias de Tahuamand y Tambopata, concentra una mayor proporci\n de poblaci\n urbana, al pasar de 53,3% y 53,1% en 1981 a 68,0% y 66,9%, en 1993, respectivamente. Las mismas que superan el promedio del departamento.

Del total de poblaci\n urbana, la provincia de Tambopata alberga el 81,3%, le siguen en orden de importancia Tahuamand con el 11,4% y Mand con el 7,3%.

CUADRO N1 1.6

DPTO.DE MADRE DE DIOS: POBLACION CENSADA URBANA,
SEGUN PROVINCIAS: 1972, 1981 y 1993


PROVINCIA
1972
1981
1993

ABS.
% DE
POBL.
URBANA

ABS.
% DE
POBL.
URBANA

ABS.
% DE
POBL.
URBANA
TOTAL

TAMBOPATA

MANU

TAHUAMANU

8499

5587

226

2686

39,9

38,9

14,0

50,3

15960

13056

275

2629

48,4

53,1

7,9

53,3

38433

31249

2800

4384

57,4

66,9

20,3

68,0

FUENTE: INEI - CENSOS NACIONALES DE 1972, 1981 Y 1993.

La poblaci\n de la provincia de Mand reside mayoritariamente en el <rea rural (79,7%). En relaci\n a 1981, se observa una tendencia a la disminuci\n de dicha proporci\n.

CUADRO N1 1.7

DPTO.DE MADRE DE DIOS: POBLACION CENSADA RURAL,
SEGUN PROVINCIAS: 1972, 1981 y 1993


PROVINCIA
1972
1981
1993

ABS.
% DE
POBLACION
RURAL

ABS.
% DE
POBLACION
RURAL

ABS.
% DE
POBLACION
RURAL
TOTAL

TAMBOPATA

MANU

TAHUAMANU

12805

8761

1394

2650

60,1

61,1

86,0

49,7
17047

11527

3221

2299

51,6

46,9

92,1

46,7
28575

15489

11027

2059

42,6

33,1

79,7

32,0

FUENTE: INEI - CENSOS NACIONALES DE 1972, 1981 Y 1993.

d) Poblaci\n al 30 de Junio de 1994

En base a la tasa de crecimiento intercensal observada en el perRodo de 1981-1993, se estima que la poblaci\n total del departamento, al 30 de junio de 1994, es de 73,700 habitantes.

Esta proyecci\n tiene un car<cter preliminar. Las proyecciones definitivas que ser<n elaboradas por el INEI, a partir de los resultados de este Censo Nacional, analizar<n detenidamente los diferentes componentes del crecimiento, o disminuci\n, de la poblaci\n.

CUADRO N1 1.8

DPTO. DE MADRE DE DIOS: POBLACION 1/ PROYECTADA AL 30 DE JUNIO,
SEGUN PROVINCIAS: 1994

PROVINCIA
POB. AL 30 DE JUNIO
ABSOLUTO
%
TOTAL

TAMBOPATA

MANU

TAHUAMANU

73700

50279

16420

7001

100,0

68,2

22,3

9,5

              1/ Estimaci\n Preliminar Calculada en Base a la Tasa de Crecimiento Intercensal
              del PerRodo 1981-1993.
              FUENTE: INEI - CENSOS NACIONALES DE 1993.