1.6 FECUNDIDAD

Los resultados del Censo de 1993, muestran que el número promedio de hijos por mujer ó paridez media, en el departamento de Huánuco es de 2,9. Esta cifra es ligeramente menor a la observada en el censo de 1981, que fue de 3,0 hijos por mujer.

CUADRO Nº 1.16

DPTO.DE HUANUCO: NUMERO PROMEDIO DE HIJOS NACIDOS VIVOS POR MUJER, SEGUN
GRUPOS DE EDAD: 1981 Y 1993

GRUPOS DE

EDAD
1981
1993
M E F
H N V
PROMEDIO

(Hijos/Mujer)
M E F
H N V
PROMEDIO

(Hijos/Mujer)
TOTAL

15 - 19

20 - 24

25 - 29

30 - 34

35 - 39

40 - 44

45 - 49

105542

24898

20405

16545

12446

12442

9763

9043

314625

4976

27187

46827

52420

66839

58621

57755

3,0

0,2

1,3

2,8

4,2

5,4

6,0

6,4
149015

33570

29607

24506

19866

17013

13171

11282

427475

7261

37331

63441

78425

87061

79840

74116

2,9

0,2

1,3

2,6

3,9

5,1

6,1

6,6

FUENTE: INEI ­ CENSOS NACIONALES DE 1981 Y 1993



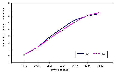
En el período 1981 a 1993, el número promedio de hijos nacidos vivos por mujer se mantiene constante en las mujeres de 15 a 24 años. En cambio entre las mujeres de 25 a 39 años se observa una ligera disminución del número de hijos por mujer, aumentando ligeramente en los dos últimos grupos de edad.

GRAFICO Nº 1.9

DPTO.DE HUANUCO: NUMERO PROMEDIO DE HIJOS NACIDOS VIVOS
POR MUJER SEGUN MEF: 1981 Y 1993



A nivel provincial, el número promedio de hijos nacidos vivos tenidos por mujer es diferencial, y podemos establecer dos niveles: con un número de hijos mayor al promedio departamental (2,9), y menor al promedio del departamento.

En el primer nivel, con un número promedio de hijos mayor al promedio departamental (2,9), se ubican las provincias de Huacaybamba con 3,6 hijos por mujer, Dos de Mayo con 3,5 hijos por mujer, Huamalíes con 3,4 hijos por mujer, Puerto Inca con 3,3 hijos por mujer, Marañon y Pachitea con 3,2 hijos por mujer y Ambo con 3,0 hijos por mujer.

El segundo nivel, con un número de hijos menor al promedio departamental (2,9), se ubican las provincias de Huánuco con 2,5 hijos por mujer y Leoncio Prado con 2,4 hijos por mujer.




CUADRO Nº 1.17

DPTO.DE HUANUCO: NUMERO PROMEDIO DE HIJOS NACIDOS VIVOS, POR MUJER
SEGUN PROVINCIAS: 1993

PROVINCIA
MUJERES EN EDAD FERTIL (MEF)
HIJOS NACIDOS VIVOS

(HNV)
PROMEDIO DE

HIJOS POR MUJER
TOTAL

HUANUCO

AMBO

DOS DE MAYO

HUACAYBAMBA

HUAMALIES

LEONCIO PRADO

MARAÑON

PACHITEA

PUERTO INCA

149015

54730

11946

22009

3772

11513

24267

4420

9941

6417

427475

136519

35565

77895

13605

39157

57292

14003

32197

21242

2,9

2,5

3,0

3,5

3,6

3,4

2,4

3,2

3,2

3,3

              FUENTE: INEI- CENSOS NACIONALES DE 1993



GRAFICO Nº Nº 1.10

DPTO. DE HUANUCO: NUMERO PROMEDIO DE HIJOS NACIDOS VIVOS POR MUJER,
SEGUN PROVINCIAS: 1993




a) Fecundidad y Nivel Educativo

Al analizar el comportamiento que tiene la fecundidad con la educación de las madres, el número promedio de hijos por mujer (paridez media) presenta una relación inversa con el nivel educativo.

La paridez media de las mujeres sin ningún nivel es de 4,5 hijos por mujer, mientras que las madres con algún año de educación superior sólo tienen un hijo, en general, se observa que a mayor nivel de educación de la mujer, menor es el número promedio de hijos que tienen.



CUADRO Nº 1.18

DPTO. HUANUCO: NUMERO PROMEDIO DE HIJOS POR MUJERES Y
NIVEL EDUCATIVO, SEGUN PROVINCIAS: 1993

PROVINCIA
TOTAL
NINGUN

NIVEL
PRIMARIA 1/
SECUNDARIA
SUPERIOR
TOTAL

HUANUCO

AMBO

DOS DE MAYO

HUACAYBAMBA

HUAMALIES

LEONCIO PRADO

MARAÑON

PACHITEA

PUERTO INCA

2,9

2,5

3,0

3,5

3,6

3,4

2,4

3,2

3,2

3,3
4,5

4,3

4,5

5,2

4,8

4,9

4,2

4,3

4,1

4,9
3,0

2,9

2,7

3,6

3,1

3,4

2,9

2,6

2,4

3,4
1,6

1,6

1,5

1,8

1,6

1,7

1,5

1,3

1,7

1,8
1,2

1,1

0,9

1,6

2,2

1,8

1,1

2,1

1,3

1,5

1/ Incluye Inicial o Pre-escolar.
FUENTE: INEI - CENSOS NACIONALES DE 1993.



GRAFICO Nº Nº 1.11

DPTO. DE HUANUCO: NUMERO PROMEDIO DE HIJOS NACIDOS VIVOS, SEGUN Y NIVEL
EDUCATIVO: 1993



Las provincias de Dos de Mayo, Huamalíes y Puerto Inca, presentan los mayores valores en la categoría ningún nivel, primaria y secundaria. En el nivel de educación superior Huacaybamba (2,2), Marañón (2,1) y Huamalíes presentan el mayor número de hijos por mujer.