|
|
ANEXO ESTADISTICO Clasificación de hogares según pobreza Años de estudios del jefe de familia
![]()
![]() Edad del jefe de hogar
![]() Clasificación de hogares según zona
![]() Sexo del jefe de hogar
Proporción de perceptores de ingresos
Situación ocupacional del jefe de hogar
Posición que ocupa en el trabajo el jefe de hogar
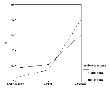
Tamaño de la empresa en que trabaja el jefe de hogar
![]()
|