5.2 FACTORES DETERMINANTES DEL ACCESO A LOS SERVICIOS DE SALUD EN EL PERU

¿Cómo encontrar cuáles son los determinantes o barreras que definen el acceso a los servicios de salud en el Perú?, ello dadas las disparidades que existen dentro de la población que reporta enfermedad o accidente en el país; una aproximación al problema es la aplicación de un Modelo estadístico que logre identificar las variables que aportan a favor o en contrario del acceso a los servicios de salud, dadas las características de la población y de las variables de tipo cuantitativo y cualitativo que explicarían el acceso a estos servicios, se ha visto por conveniente utilizar un Modelo Logit.

Esto debido a la presencia de múltiples variables nominales, se aplicó un modelo econométrico uniecuacional, el cual tiene como variable dependiente el acceso a los servicios de salud

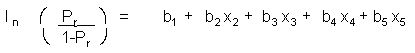
Esta característica de la variable dependiente, permite hallar el modelo logit cuya forma funcional es la siguiente :

Donde :

Pr = Probabilidad de que una persona accede a los servicios de salud

X2 ... X5 ; son las variables explicativas

Sea

    Pr : La razón de la probabilidad de que una persona acceda a los servicios de salud
    1-Pr

    Pr : exp. (- b1 + b2 x2 + b3 x3 + b4 x4 + b5 x5)
    1-Pr

Linealizando, tomando logaritmos:

La inclusión o exclusión de cada variable explicativa está determinada por la prueba t sobre cada una de ellas.

Dada la variable dependiente acceso a los servicios de salud y siguiendo el método de Step Weise se hallaron las mejores variables que explican dicho acceso. Ante dos alternativas equivalentes se eligió como mejor modelo aquel que tiene el valor del logaritmo de verosimilitud más alto. Las variables independientes están descritas por tipo y característica en el Cuadro Nº 39.

Se ha escogido estas variables a partir de tres criterios, el primero tiene que ver con el acceso a los servicios de salud, es decir si la población con reporte de una enfermedad o accidente que accedió o no accedió a los servicios de salud, tal como lo dijimos en la parte conceptual del presente estudio, el acceso lo estamos definiendo como la utilización del servicio de salud institucional que el Sistema de salud en el Perú dispone como provisores de servicios vía establecimientos de salud o servicios de salud de atención directa (profesionales o personal de salud que atiende en consultorio o a domicilio).

Un segundo aspecto en esta variables es definir las variables que expliquen las condiciones de vida de la población de tipo estructural como son el ingreso per cápita mensual, las NBIs, el nivel de pobreza por línea de pobreza, la afiliación a un servicio de salud, la condición de actividad, el estado civil del jefe de familia y el sexo, es decir variables que reflejan las características estructurales de la población de orden económico, social y demográfico; Y un tercer aspecto que se ha considerado en las variables del modelo son aquellas relacionadas con la accesibilidad temporal y geográfica, particularmente vinculadas al tiempo de llegada a los establecimientos de salud y al medio de transporte utilizado, que como examinamos en los resultados obtenidos tiene íntima relación con aspectos de disponibilidad de provisores de salud, de capacidad de llegada al establecimiento, y con aspectos determinados por áreas de residencia, región natural, nivel de urbanización, ingresos, educación, etc.

Las variables de comportamiento no están incluidas porque están en relación a los que no acceden a los servicios de salud, por las razones manifiestas por las que no acuden a estos servicios. Es importante mencionar que estas variables de comportamiento están básicamente definidas por las condiciones de vida que tiene la población.

Cuadro Nº 39:
Variables incluidas en el Modelo para hallar
el acceso a los Servicios de Salud en el Perú

Así entonces logramos encontrar un modelo estadístico para el país, el cual explicaría cuáles son los principales determinantes del acceso a los servicios de salud. Ver Cuadro Nº 40, que estaría explicado en una función siguiente:

Acceso = f (ingreso per cápita, NBI2: hacinamiento, NBI3 sin servicios higiénicos, NBI4: con niños que no van a la escuela, tiempo de llegada a los servicios de salud, pobreza no extrema)

Acceso = 0.175854 + 6.97E-05 IPCM - 0.233619 NBI2 - 0.319038 NBI3 - 0.581600 NBI4 + 0.064903 TIEMPLLE - 0.180440 LP2

CUADRO Nº 40

MODELO DE REGRESIÓN LOGISTICA PARA IDENTIFICAR LOS FACTORES
DETERMINANTES DEL ACCESO A LOS SERVICIOS DE SALUD EN EL PERU. II TRIM. 1998

LOGIT // Dependent Variable is ACCEDE
Included observations: 10747
Convergence achieved after 2 iterations

Log likelihood   -  7354.603
Obs with Dep=1   5434
Obs with Dep=0   5313

Donde:

  • El ingreso percápita mensual : IPCM

  • Necesidad Insatisfecha nivel 2: Hacinamiento : NBI2

  • Necesidad Insatisfecha nivel 3: Sin Servicios Higiénicos: NBI3

  • Necesidad Insatisfecha nivel 4: Con niños que no van a la escuela: NBI4

  • Tiempo del llegada a los servicios de salud . TIEMPLLE

  • Pobreza no extrema : LP2

  • Siendo C: la constante del modelo

Lo que nos indica este modelo, es que dadas las características tan heterogéneas de la población en la que se interrelacionan variables múltiples, no sólo indicarían lo multidimensional del problema, sino que se rescatan sólo las variables más importantes que explicarían el acceso a los servicios de salud, definiéndose como determinantes que posibilitan el acceso a los servicios de salud o imposibilitan.

La lectura del modelo hallado nos dice que variables que mejor explican, manteniéndose el resto de variables constantes, son las variables estructurales, es decir las condiciones en las que vive la población, como son las NBI, que interactúan y presentan una relación inversa respecto del acceso a los servicios de salud, así tenemos los hogares con niños que no asisten a la escuela (NBI4), sin servicios higiénicos (NBI3) y en condiciones de hacinamiento (NBI2), se convierten en barreras del acceso a los servicios de salud.

Ello significa que la población vista por el lado de sus condiciones de vida, estas condiciones actúan (en el caso de las NBI) como determinantes para el no acceso a los servicios de salud.

Ello a partir de entender lo siguiente, la probabilidad de que acceda a los servicios de salud el poblador es mucho menor cuando exista mayor presencia en el hogar de niños que no van a la escuela, los hogares no cuenten con servicio higiénico y haya existencia de hacinamiento, este orden lo da el coeficiente hallado pues hay mayor explicación cuando se acerca hacia la unidad positiva o negativa.

Otras dos variables explican de modo positivo el acceso a los servicios de salud, el tiempo de llegada (la accesibilidad temporal) y el ingreso per cápita, es decir el hecho de que la población tenga mayor accesibilidad a los servicios de salud, definirá una mayor propensión de acceso a los servicios de salud, lo mismo sucede con el ingreso, si la población mejora sus ingresos existe la posibilidad de que mejore el acceso a los servicios de salud.

Se nota que se juntan y definen el acceso a los servicios de salud determinantes ligados a la estructura socioeconómica de la población (NBIs e ingresos) y la capacidad que tiene el Estado de poner a disposición de la población en un lugar de fácil accesibilidad la oferta de servicios de salud.

Dadas las distintas características de la población examinadas por sus características sociales, socioeconómicas, educativas, de comportamiento y demográficas, y analizadas por área de residencia, región natural, nivel de urbanización, etc., encontramos características y comportamientos distintos, por ello se ha realizado modelos Logit que expliquen los principales determinantes por Area de Residencia y Región Natural, de modo que se puedan extraer conclusiones y recomendaciones más desagregadas.

El Cuadro N° 41 muestra el resultado del modelo de regresión logística que plantea los determinantes de acceso a los servicios de salud en el área rural del Perú, así entonces tenemos, que el acceso a los servicios de salud en el área rural viene determinada por casi las mismas variables que definen el acceso en general para el Perú, con la excepción del ingreso.

Tenemos que el acceso a los servicios de salud en el área rural del Perú, está en función de los NBI2, NBI3, NBI4, la pobreza no extrema (medida por línea de pobreza, el tiempo de llegada y la condición de actividad para el jefe de familia. Esta función la podemos expresar de la siguiente manera:

Acceso rural = f (NBI2: hacinamiento, NBI3 sin servicios higiénicos, NBI4: con niños que no van a la escuela, Pobreza no extrema, tiempo de llegada a los servicios de salud, condición de actividad del jefe de familia)

Que se puede expresar en la siguiente función lineal: Acceso rural = - 0.192264 NBI2 - 0.168926 NBI3 - 0.796416 NBI4 -0.339485 LP2+ 0.889262 TIEMPLLE - 0.271910 CONACTJH

CUADRO Nº 41
MODELO DE LOGISTICA PARA IDENTIFICAR LOS FACTORES DETERMINANTES DEL ACCESO
A LOS SERVICIOS DE SALUD EN EL AREA RESIDENCIAL RURAL. II TRIM. 1998

DOMINIO : AREA DE RESIDENCIA RURAL

LOGIT // Dependent Variable is ACCEDE
Included observations: 3137
Improve log likelihood after 4 iterations

Log likelihood   -2491.308
Obs with Dep=1   1551
Obs with Dep=0   1586

Las variables explicativas son:

  • Necesidad Insatisfecha nivel 2: Hacinamiento : NBI2

  • Necesidad Insatisfecha nivel 3: Sin Servicios Higiénicos: NBI3

  • Necesidad Insatisfecha nivel 4: Con niños que no van a la escuela: NBI4

  • Pobreza no extrema : LP2

  • Tiempo del llegada a los servicios de salud . TIEMPLLE

  • Condición de Actividad del Jefe de familia: CONACTJH

Entonces tenemos que la variable que más explica el acceso a los servicios de salud en el área rural del Perú, manteniéndose el resto de variables explicativas constantes es el tiempo de llegada, es decir cuando exista mayor accesibilidad temporal en el área rural, mayor posibilidad de que la población acceda a los servicios de salud, o también cuando cambie hacia un menor tiempo de llegada al establecimiento de salud el acceso a estos servicios mejorará.

Son barreras e interactúan entre sí, en este orden: los hogares con niños que no van a la Escuela, sin servicios higiénicos y en hacinamiento. Es decir que interactúan de modo que al existir cambios en la población la relación con el acceso es inversa, si se incrementa la población con estas NBI, habrá más propensión a no acceder a los servicios de salud en el área rural.

El Cuadro N° 42, que muestra el modelo de determinantes para el Area residencial Urbano,

CUADRO Nº 42
MODELO DE REGRESIÓN LOGISTICA PARA IDENTIFICAR LOS FACTORES DETERMINANTES
DEL ACCESO A LOS SERVICIOS DE SALUD EN EL AREA RESIDENCIAL RURAL. II TRIM. 1998

DOMINIO : AREA DE RESIDENCIA URBANO

LOGIT // Dependent Variable is ACCEDE
Date: 04/06/00 Time: 07:29
Included observations: 7610
Convergence achieved after 3 iterations

Log likelihood   -5212.523
Obs with Dep=1   3883
Obs with Dep=0   3727

Las variables explicativas son:

  • El ingreso percápita mensual: IPCM

  • Necesidad Insatisfecha nivel 2: Hacinamiento : NBI2

  • Necesidad Insatisfecha nivel 3: Sin Servicios Higiénicos: NBI3

  • Tiempo del llegada a los servicios de salud . TIEMPLLE

  • Medio de transporte 1: A pie: TRANSP1

  • Pobreza extrema : LP1

Siendo C: la constante del modelo

Tenemos que el acceso a los servicios de salud en el área urbana del Perú, está en función del ingreso per cápita mensual , los NBI2, NBI3, la accesibilidad temporal (tiempo de llegada), la accesibilidad geográfica (el medio de transporte) y la pobreza extrema (medida por línea de pobreza). Esta función la podemos expresar de la siguiente manera:

Acceso área urbana = f (ingreso per cápita mensual, NBI2: hacinamiento, NBI3 sin servicios higiénicos, tiempo de llegada a los servicios de salud, medio de transporte utilizado (a pie), Pobreza extrema)

Que se puede expresar en la siguiente función lineal:

Acceso área urbana = 0.101137 + 0.000110 IPCM - 0.263217 NBI2 - 0.392246 NBI3 + 0.071160 TIEMPLLE + 0.082103 TRANP1 + 0.162240 LP1

En este modelo, los resultados conforman dos tipos de factores estructurales, los que pertenecen a la población y los que definen la accesibilidad, que viene dada por la presencia de establecimientos a los servicios de salud en el área urbana del Perú.

Las variables más explicativas del modelo son las NBI que en su interacción define una relación inversa con el acceso a los servicios de salud, es decir cuando mayores necesidades básicas insatisfechas de hacinamiento y la no existencia de servicios higiénicos en las viviendas de los hogares en extrema pobreza implicarán menor propensión a acceder a los servicios de salud en el Perú urbano, o ante un cambio en las NBI 2 y 3, permaneciendo todo lo demás constante, existirá una relación inversa con el acceso a los servicios de salud en el área urbana del país.

Como factor positivo del acceso ante cambios en la población urbana en condiciones de pobreza extrema, significaría que en el área urbana la política de salud de focalización del gasto estaría permitiendo romper la barrera del ingreso, de modo que la población de muy bajos ingresos acceda, ello aunado con los factores de accesibilidad, que les permite acudir a los establecimientos de salud en menor tiempo y sin usar mayor medio de transporte que acudir a pie. Factores que integrarían entonces la política de salud de focalización del gasto en el área urbana y la provisión de servicios de salud suficientemente cercanos a la población más necesitada.

El ingreso per cápita mensual también figura como un determinante en una relación positiva, es decir cuando mayor sea el ingreso de la población habrá mayor posibilidad de que la población acceda a los servicios de salud.

Es evidente que las condiciones de accesibilidad marcan diferencia entre la población urbana y la población rural, además que la acción de las políticas de salud están mejor desarrolladas para la población que para la población urbana, no sólo en el subsidio de la atención de la salud, sino que la implementación de establecimientos de salud define su fácil accesibilidad.

Si analizamos los resultados del modelo por Región Natural, y de acuerdo a lo trabajado hasta aquí, en la que hemos desagregado Lima Metropolitana como una Región Natural de modo que se pueda analizar de mejor manera los determinantes del acceso a los servicios de salud, pues las características propias y particulares de Lima Metropolitana, implican características distintas en el análisis del acceso a los servicios de la salud .

Analizando el Cuadro N° 43, diremos que el acceso a los servicios de salud en Lima Metropolitana está en función al ingreso per cápita mensual, la pobreza no extrema, el tiempo de llegada a los servicios de salud, los medios de transporte utilizados, la condición de actividad del Jefe de hogar, las NBI: hacinamiento y sin servicios de salud.

CUADRO Nº 43
MODELO DE REGRESIÓN LOGISTICA PARA IDENTIFICAR LOS FACTORES DETERMINANTES
DEL ACCESO A LOS SERVICIOS DE SALUD EN LA REGION NATURAL DE LIMA METROPOLITANA.
II TRIM. 1998

DOMINIO: LIMA METROPOLITANA

LOGIT // Dependent Variable is ACCEDE
Included observations: 1945
Improve log likelihood after 3 iterations

Log likelihood   -1786.144
Obs with Dep=1   1163
Obs with Dep=0   782

Las variables explicativas son:

  • El ingreso percápita mensual: IPCM

  • Pobreza no extrema : LP2

  • Tiempo del llegada a los servicios de salud . TIEMPLLE

  • Medio de transporte 1: A pie: TRANSP1

  • Medio de transporte 2: Transporte publico: TRANSP2

  • Medio de transporte 3: Taxi: TRANSP3

  • Condición de Actividad del Jefe de familia: CONACTJH

  • Necesidad Insatisfecha nivel 2: Hacinamiento : NBI2

  • Necesidad Insatisfecha nivel 3: Sin Servicios Higiénicos: NBI3

Modelo que se puede expresar de la forma siguiente:

Acceso Lima Metrop.= f (ingreso per cápita mensual, la pobreza no extrema, el tiempo de llegada a los servicios de salud, los medios de transporte utilizados, la condición de actividad del Jefe de hogar, las NBI: hacinamiento y sin servicios de salud)

Que se puede expresar en la siguiente función lineal:

Acceso Lima Metrop.= 0.000309 IPCM - 0.431067 LP2 - 2.781651 TIEMPLLE + 0.297230 TRANP1 + 0.770169 TRANP2 + 0.625270 TRANP3 - 0.493275 CONACTJH - 0.773110 NBI1 - 0.486985 NBI3

El modelo a su vez nos estaría diciendo que variables que más explican el acceso a los servicios de salud (permaneciendo todo los demás constante) son las necesidades básicas insatisfechas 2, y 3, y la accesibilidad vista por el medio de transporte publico y taxi.

En la interacción de las NBI, estarían explicando una relación adversa ante la presencia de estas NBI, mientras que las variables de accesibilidad estarían contrarrestando esta propensión, pues el fácil acceso vía transporte público o taxi en Lima Metropolitana estará indicando que la existencia de locales y establecimientos de salud lo suficientemente bien ubicados ( de fácil acceso) ante las necesidades de servicios de salud en la población limeña.

La complejidad de Lima hace también que existan otros factores negativos para el acceso, como son el tiempo de llegada y la pobreza extrema, es decir cuanto más demora la llegada al establecimiento de salud menor posibilidad de acceso a los servicios de salud existen, de otra manera cuando la población sea más pobre ( no extremo) en Lima Metropolitana habrá más posibilidad de que esta población no acceda a los servicios de salud.

La condición de actividad del jefe de hogar implica también una relación inversa con el acceso a los servicios de salud, es decir si hay una variación de los jefes de hogar en condición de ocupado el acceso disminuiría, esto estaría llevando a que esta población tendría menos tiempo para acudir a los establecimientos de salud dada su condición o que dados los comportamientos de la población en ciudades como Lima, se da como salida a la autoreceta o el acudir a la farmacia.

En el Cuadro N° 44 tenemos los resultados del Modelo Logístico para la Región Natural Resto Costa, en la que nos indica que el acceso a los servicios de salud en este dominio, está en relación a la NBI2: Hacinamiento, NBI3: Sin Servicios Higiénicos, Pobreza no extrema, Medio de transporte (Transporte público), Medio de transporte 3 (Taxi), Medio de transporte 4 (Bicicleta).

CUADRO Nº 44
MODELO DE REGRESIÓN LOGISTICA PARA IDENTIFICAR LOS FACTORES DETERMINANTES
DEL ACCESO A LOS SERVICIOS DE SALUD EN LA REGION NATURAL
DE RESTO COSTA. II TRIM. 1998

DOMINIO: : RESTO COSTA

LOGIT // Dependent Variable is ACCEDE
Date: 04/06/00 Time: 08:14
Included observations: 3617
Convergence achieved after 3 iterations

Log likelihood   -2429.319
Obs with Dep=1   1596
Obs with Dep=0   2021

Las variables explicativas son:

  • Necesidad Insatisfecha nivel 2: Hacinamiento : NBI2

  • Necesidad Insatisfecha nivel 3: Sin Servicios Higiénicos: NBI3

  • Pobreza no extrema : LP2

  • Medio de transporte 2: Transporte publico: TRANSP2

  • Medio de transporte 3: Taxi: TRANSP3

  • Medio de transporte 4: Taxi: Bicicleta

Siendo C: la constante del modelo

Acceso Resto Costa = f (hacinamiento, hogares sin servicios higiénicos, pobreza no extrema (por línea de pobreza) y medio de transporte utilizado)

Que se puede expresar en la siguiente función lineal:

Acceso Resto Costa = 0.116765 -0.447266 NBI2 - 0.439307NBI3 - 0.176551 LP2 - 0.318861 TRANSP2 - 0.281698TRANSP3 -1.188901 TRANSP4

En este dominio encontramos que la relación con todas las variables es inversa respecto del acceso, es decir todas las variables halladas que interactúan conllevan a convertirse en barreras para el acceso a los servicios de salud, siendo las variables que más aportan desde el punto de vista de un cambio unitario en la variable explicativa, manteniéndose el resto de las variables constantes, son las necesidades básicas insatisfechas: hacinamiento y NBI3: hogares sin servicios higiénicos, el medio de transporte público y taxi.

Es decir que al interactuar las variables estructurales como son las NBI en los hogares con los medios utilizados para acudir a los establecimientos de salud en el Resto de la Costa del Perú, estarían imposibilitando el acceso a los servicios de salud.

La participación de la pobreza no extrema (medido por línea de pobreza) como variable explicativa del modelo, significaría que esta condición de pobreza extiende la población que no accede a los servicios de salud en este dominio.

En el Cuadro N° 45, se muestran los resultados del Modelo Logístico que presenta los determinantes del acceso a los servicios de salud en el dominio de la Sierra, donde se aprecia que el acceso a estos servicios está en función de las necesidades básicas insatisfechas como el hacinamiento, los hogares sin servicios higiénicos y los niños que no van a la escuela, la afiliación a un seguro de salud, la accesibilidad temporal y la accesibilidad geográfica.

Acceso Sierra = f (hacinamiento, hogares sin servicios higiénicos, niños que no asisten a la escuela, afiliación a un seguro de salud, tiempo de llegada y medio de transporte utilizado)

Que se puede expresar en la siguiente función lineal:

Acceso Sierra = 0.240702 - 0.319408 NBI2 - 0.357529 NBI3 - 0.505989 NBI4 + 0.193631AFSS + 0.053751TIEMPLL - 0.903338 TRANP4

El modelo encontrado para explicar los determinantes del acceso a los servicios de salud en la sierra del Perú, está indicando que las variables más explicativas son las NBI y el medio de transporte, todas ellas como barreras al acceso, es decir que al interactuar explicarán un cambio en el acceso pero en relación inversa a los cambios efectuados en las variables.

Son variables con relación positiva la afiliación a un seguro de salud y el tiempo de llegada, que ante variaciones en estas variables la propensión al acceso es mayor, manteniendo todo lo demás constante, ello ocurre en un proporción menor a los cambios que pudiera ocurrir en la población con NBIs y en los que acuden en bicicleta a los establecimientos de salud.

Es decir que los efectos en el acceso a los servicios de salud ante cambios en la población con NBIs 2,3,4 y en la población que acuden en bicicleta serán mucho mayores que los cambios que pudieran ocurrir en la afiliación y el tiempo de llegada a los establecimientos en la sierra del Perú.

CUADRO Nº 45
MODELO DE REGRESIÓN LOGISTICA PARA IDENTIFICAR LOS FACTORES DETERMINANTES
DEL ACCESO A LOS SERVICIOS DE SALUD EN LA REGION NATURAL DE LA SIERRA. II TRIM. 1998

DOMINIO: SIERRA

LOGIT // Dependent Variable is ACCEDE
Included observations: 2754
Convergence achieved after 3 iterations

Log likelihood   -1875.419
Obs with Dep=1   1428 Obs with Dep=0   1326

Las variables explicativas son:

  • Necesidad Insatisfecha nivel 2: Hacinamiento : NBI2

  • Necesidad Insatisfecha nivel 3: Sin Servicios Higiénicos: NBI3

  • Necesidad Insatisfecha nivel 4: Con niños que no van a la escuela: NBI4

  • Tiempo del llegada a los servicios de salud . TIEMPLLE

  • Afiliación a los servicios de salud. ASS

  • Medio de transporte 4: Bicicleta

  • Siendo C: la constante del modelo

En el Cuadro N° 46 se muestra los resultados del Modelo Logit para la Región Natural Selva, este nos indica que el acceso a los servicios de salud en esta región natural está en función de las variables: Hogares Sin Servicios Higiénicos, hogares con niños que no van a la escuela, Tiempo del llegada a los servicios de salud, Medio de transporte: Taxi, Condición de Actividad del Jefe de familia, Pobreza extrema e ingreso per cápita mensual.

En la selva también encontramos que las variables más explicativas como barreras del acceso a los servicios de salud son Las necesidades básicas insatisfechas 3 y 4, la condición de actividad del Jefe de familia , y la pobreza extrema.

Así, se muestran estas variables en relación inversa al acceso a los servicios de salud, es decir al incrementarse la población con NBI 3 y 4, o al incrementarse la población en condición de pobreza extrema (por la línea de pobreza y al incrementarse la posibilidad de que haya un ocupado, existe mayor posibilidad de que la población no acceda a los servicios de salud.

Son determinantes con relación positiva respecto del acceso, la pobreza extrema, y en menor medida el tiempo de llegada y el ingreso per cápita mensual. Esta característica de que la población en condición de pobreza extrema acceda se explicaría por los programas que tiene el gobierno sobre combate a las enfermedades regionales y metaxénicas y que tienen mayor número de casos en la selva, estos programas van desde la prevención, la provisión del servicio, el financiamiento y seguimiento y control de los enfermos.

CUADRO Nº 46
MODELO DE REGRESIÓN LOGISTICA PARA IDENTICAR LOS FACTORES DETERMINANTES
DEL ACCESO A LOS SERVICIOS DE SALUD EN LA REGION NATURAL DE LA SELVA. II TRIM. 1998

DOMINIO: SELVA

LOGIT // Dependent Variable is ACCEDE
Included observations: 1864
Improve log likelihood after 4 iterations

Log likelihood   -1453.355 Obs with Dep=1   924
Obs with Dep=0   940

Las variables explicativas son:

  • Necesidad Insatisfecha nivel 3: Sin Servicios Higiénicos: NBI3

  • Necesidad Insatisfecha nivel 4: Con niños que no van a la escuela: NBI4

  • Tiempo del llegada a los servicios de salud . TIEMPLLE

  • Medio de transporte 3: Taxi: TRANSP3

  • Condición de Actividad del Jefe de familia: CONACTJH

  • Pobreza extrema : LP1

  • El ingreso per. cápita mensual: IPCM