1.3 ESTIMACION DE LA POBLACION CON VARIABLES SINTOMATICAS

La proyección de la población por áreas menores, presenta dos problemas fundamentales: por una parte no existe una metodología definida para proyectar la población en áreas menores (distritos) y por otra parte existe una gran demanda de información sobre población desagregada por provincias, distritos y centros poblados, por ello, el Centro Latinoamericano de Demografía (CELADE) ha desarrollado un método indirecto para estimar la población en áreas menores, en base a variables que las denominan "sintomáticas". Esta metodología surge como una alternativa a las estimaciones obtenidas en base a extrapolaciones matemáticas de niveles y tendencias/1, cuyo problema fundamental radica en que se basan en observaciones realizadas en el pasado, como tal no consideran cambios recientes en las tendencias, debido sobre todo a las migraciones recientes y en períodos cortos.

En el caso peruano, para la estimación de la población distrital 1995-2000, se utilizó los resultados de los censos de población de 1981 y 1993, que permiten estimar tendencias históricas, que no toman en cuenta, por ejemplo, los cambios en el tamaño de la población de un número considerable de distritos donde se ha producido el retorno de los desplazados por la violencia subversiva, hecho que a no dudar altera la tendencia de crecimiento de la población, observada en el período intercensal 1981-1993.

1.3.1 Las Variables Sintomáticas

Se consideran variables sintomáticas a aquellas que están relacionadas con los cambios en el tamaño de la población, tales como: nacimientos, defunciones, licencias para construir viviendas o viviendas construidas, impuestos recolectados, registro de automóviles o licencias de conducir, registro electoral, matrícula escolar (por edad y nivel), tasa de ocupación, mano de obra agrícola, consumo de energía eléctrica, etc.

La utilización de estas variables y los resultados que se obtengan en términos de estimación de la población, dependen fundamentalmente de la calidad de ellas. Se debe estudiar la disponibilidad periódica de la información y sobre todo la calidad diferencial por distrito, pues si se detecta, por ejemplo, una omisión diferencial por áreas de registro, los estimados de población no serán los mejores.

De acuerdo a las distintas variables sintomáticas enumeradas, las que posiblemente sean más adecuadas para estimar la población están disponibles en áreas altamente urbanizadas, tales como ciudades compuestas por varios distritos, como Lima-Metropolitana, donde supuestamente existe información confiable como por ejemplo, sobre consumo de energía, servicios telefónicos, matrícula escolar u otras. En cambio, en los distritos rurales, sólo se dispone de registros de nacimientos, defunciones y matrícula escolar, de poca confiabilidad por la omisión diferencial por distrito que las afecta, sobre todo en los registros de hechos vitales.

En el caso de la Encuesta de Caracterización de la Población Retornante se obtuvo información sobre nacimientos, defunciones y matrícula escolar, con las cuales se hicieron aplicaciones metodológicas con la finalidad de evaluar los resultados.

1.3.2 Método

Existen varias alternativas de estimación de la población en áreas menores utilizando variables sintomáticas. En este caso, se empleó el de "Distribución por Prorrateo", que se basa en el supuesto de que la distribución de la población y de las variables sintomáticas, por distritos, son idénticos.

Para su aplicación se necesita conocer la distribución relativa de la variable sintomática, por distritos, y la población total de la provincia, o conjunto de distritos que intervienen en la estimación.

El método se puede aplicar separadamente para cada variable sintomática o por la combinación de dos a más variables sintomáticas.

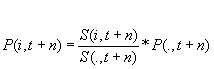
La expresión matemática de este método está dada por la siguiente expresión:

donde:

P(i,t+n) es la población del distrito "i" en el momento

"t+n";

P(.,t+n) es la estimación de la población total de la

provincia o total de distritos intervinientes,

en el momento "t+n";

S(i,t+n) es el valor de la variable sintomática del

distrito "i" en el momento "t+n";

S(.,t+n) es el valor de la variable sintomática en el

momento "t+n" para el total de los distritos

intervinientes.

I) Ventajas del Método:

a) Necesita información para un solo momento en el tiempo, el momento de la estimación, por lo que se puede disponer de varias variables sintomáticas a ser analizadas.

b) No es necesario compatibilizar las áreas geográficas en el tiempo. Esta es una ventaja cuando se tienen creaciones de divisiones político administrativas, posteriores al último censo.

c) No hay cambios de definición, de formas de recolección de afectación diferencial de las variables sintomáticas en el tiempo, es decir, no hay problemas de comparabilidad histórica.

II) Desventajas del Método:

a) El supuesto en que se basa el método presenta limitaciones, ya que es difícil encontrar en la práctica que la distribución relativa de las variables sintomáticas por distritos, sea idéntica a la distribución de la población.

b) Las estimaciones están afectadas por la calidad diferencial, por distrito, de la variable sintomática.

c) La estimación final de la población se sustenta en otra estimación de la población, la del área inmediatamente mayor que también esta afectada por errores de estimación.

1.3.3 Aplicación

A manera de ilustración se presenta una aplicación en la provincia de Antabamba del departamento de Apurímac. Se realizan las estimaciones de la población en base a la información sobre nacimientos y defunciones registradas en 1996.

El método aplicado es el de "Distribución por Prorrateo", en tres variantes: En base a los nacimientos, las defunciones y una combinación de nacimientos y defunciones. No se aplicó la información sobre Matrícula Escolar por la falta de datos para todos los distritos involucrados en el estudio.

Como se aprecia en los resultados, la mejor estimación se logra con información combinada, le sigue en importancia la estimación con nacimientos y finalmente con defunciones. Esto indica que el sesgo que se introduce en la estimación de la población es de tipo alterno, es decir, en algunos casos la estimación se sobre-estima y en otros se sub-estima, además es evidente la existencia de registros con características diferenciales según distrito de ocurrencia.

En el cuadro Nº 01 se muestra la información utilizada en el ejercicio. Por un lado se tiene la población, producto del conteo realizado, por otro el número de nacimientos y defunciones registrados en cada distrito.

El resultado de las estimaciones de la población, para cada distrito, según la variable sintomática empleada se muestra en el cuadro Nº 02, estimaciones que se pueden comparar con la población producto del conteo.

Con la finalidad de evaluar los resultados, se calcula el error absoluto para cada alternativa, resultados que se muestran en el cuadro Nº 03. Como se aprecia, los menores errores en la provincia se consiguen con la combinación de las dos variables sintomáticas.

 

 

CUADRO N º 01

ANTABAMBA: INFORMACION BASE

PROVINCIA Y DISTRITO

POBLACION 1997

NACIMIENTOS 1996

DEFUNCIONES 1996

ANTABAMBA

15489

495

156

 

ANTABAMBA

4337

148

50

EL ORO

851

30

10

HUAQUIRCA

1379

54

17

JUAN E. MEDRANO

2256

53

23

OROPESA

3334

100

28

PACHACONAS

1618

45

19

SABAINO

1714

65

9

 

CUADRO N º 02

ANTABAMBA: POBLACION ESTIMADA

PROVINCIA Y DISTRITO

POBLACION CONTEO ACION 1997

POBLACION ESTIMADA CON

NACIMIENTOS

DEFUNCIONES

DEFUNCIONES

ANTABAMBA

15489

15489

15489

15489

 

ANTABAMBA

4337

4631

4964

4711

EL ORO

851

939

993

952

HUAQUIRCA

1379

1690

1688

1689

JUAN E. MEDRANO

2256

1658

2284

1808

OROPESA

3334

3129

2780

3045

PACHACONAS

1618

1408

1886

1523

SABAINO

1714

2034

894

1761

 

CUADRO N º 03

ANTABAMBA: ANALISIS DEL ERROR DE ESTIMACION

PROVINCIA Y DISTRITO

NACIMIENTOS

DEFUNCIONES

AMBAS

ANTABAMBA

13,1

17,7

10,7

DES. ESTAN TOTAL

6,8

11,9

5,9

 

ANTABAMBA

6,8

14,5

8,6

EL ORO

10,3

16,7

11,9

HUAQUIRCA

22,6

22,4

22,5

JUAN E. MEDRANO

26,5

1,2

19,9

OROPESA

6,2

16,6

8,7

PACHACONAS

13,0

16,6

5,9

SABAINO

18,7

47,8

2,7