|
Las funciones de bienestar pueden definirse del siguiente modo1 : si el bienestar
social es una función del nivel de vida de los individuos
dentro de una sociedad, "y " es un indicador del nivel
de vida de la población (ingreso, gasto u otro indicador
por persona) con valores ,
,
, para cada uno de los individuos
y W el valor del bienestar social, entonces
donde n es el tamaño de la población
y es una función que debe cumplir
con ciertos supuestos para que sea adecuado al análisis
de la desigualdad de los ingresos y la pobreza.
Si es homogénea
de grado 1 sucederá que cambios proporcionales en las
tendrán el mismo efecto proporcional sobre el agregado
y en consecuencia podrá escribirse
es decir, si es, por ejemplo, el ingreso,
el nivel del bienestar social dependerá
del ingreso promedio
y de la distribución
del ingreso .
En una situación de perfecta
igualdad en la distribución de los ingresos, todas las
personas tendrán el mismo nivel de ingreso y el promedio
será también el mismo. En consecuencia ,
lo cual significa que el bienestar social será igual al
nivel promedio de ingresos
. También
puede deducirse de la expresión anterior que para una situación
con algún grado de desigualdad de los ingresos (situación
que se produce cuando al menos un individuo tiene más ingreso
que otro) el bienestar social no pude ser mayor al promedio
,
y por tanto podrá escribirse
donde es la
medida de la desigualdad de los ingresos, la cual será
igual a cero si hay perfecta igualdad, y mayor que cero, pero
menor o igual a uno si existe algo de desigualdad. El nivel de
bienestar social depende, en consecuencia, del promedio y la desviación
de los ingresos, existiendo una relación positiva con el
primero y una negativa con el segundo.
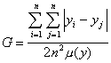
Respecto a las medidas de distribución
del ingreso puede señalarse lo siguiente. Si es
el ingreso del individuo
, donde
,n
es el número de individuos en una distribución
dada y
es el promedio de la distribución,
la fórmula del coeficiente de Gini (
)
es la siguiente:
Las otras tres medidas pueden expresarse
con la fórmula general siguiente:
donde es un entero que toma valores
de 0, 1 y 2. Utilizando la regla de l'Hopital puede obtenerse
la medida de desigualdad cuando , es decir,
el promedio del logaritmo de la desviación:
De manear similar, cuando ,
se obtiene el índice de Theil, el cual estará dado
por:
Cuando , se
obtiene una transformación (la mitad del cuadrado) del
coeficiente de variación, el cual tendrá la expresión
siguiente:
De las cuatro medidas de desigualdad
de los ingresos descritas, sólo las de la clase de Entropía
Generalizada pueden descomponerse de una forma muy simple. Si
la desigualdad total () es la suma de
los componentes entre-grupos (
)
e intra-grupos (
):
,
y la población se divide en j subgrupos, las fórmulas
para cada uno de los componentes son las siguientes:
donde
es el promedio
del ingreso en el subgrupo j,
es la medida
de desigualdad para la población en el subgrupo j,
es la proporción
del ingreso del subgrupo j respecto al total, y
es la proporción
de la población del subgrupo j respecto a la total.
En consecuencia, el tamaño de
la desigualdad explicada por una característica
o atributo específico de la población
,
para una medida
de desigualdad, será
en porcentaje:
. La importancia
de este dato radica en que si su valor es pequeño, las
políticas que buscan reducir las diferencias, por ejemplo,
regionales o educativas, tendrán poco efecto sobre la desigualdad
total y por tanto será poco significativas desde la perspectiva
de la equidad.
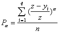
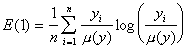
Por su parte, de las medidas de pobreza
puede decirse lo siguiente. Si el ingreso es el indicador de
bienestar () y la línea de la pobreza
(
) el indicador del mínimo necesario
para sobrevivir2 , dicho índice tiene la expresión
siguiente:
donde es el
tamaño de la población,
la cantidad de personas pobres y
es un
parámetro que se interpreta como de aversión a la
pobreza, la cual refleja la sensibilidad de las personas a la
distribución del ingreso al interior de los pobres. La
expresión anterior no es más que el promedio de
una medida individual de pobreza que toma el valor de
para el pobre y cero para el no pobre.
Si , , la medida
de pobreza
indicará la proporción
de la población con un ingreso inferior a la línea
de pobreza:
es decir, medirá la incidencia
(extensión o prevalencia) de la pobreza; en realidad,
la medida más simple y más común de la pobreza.
Si se refiere solo a la canasta de alimentos,
se referirá a la proporción de pobres extremos o
indigentes, es decir, aquellos cuyo ingreso percápita no
alcanza para adquirir una canasta básica de alimentos.
Si
se refiere a los alimentos y no alimentos,
se referirá a la proporción
de pobres absolutos (extremos y no extremos), es decir, aquellos
cuyo ingreso percápita no alcanza para adquirir una canasta
básica total.
El indicador de incidencia de la pobreza
tiene la ventaja de ser de muy fácil comprensión,
pero sólo es satisfactoria para algunas comparaciones de
pobreza. Sólo permite evaluar el progreso global en la
reducción del fenómeno, pero no medir, por ejemplo,
el impacto sobre la profundidad o intensidad de la pobreza. Significa
que si una persona pobre repentinamente se vuelve más pobre,
el indicador de incidencia de la pobreza no variará, es
decir, es un indicador insensible a los cambios en la profundidad
de la pobreza. Sólo mide cuántos pobres existen,
pero no qué tan pobres son los pobres.
Desde este punto de vista un mejor indicador
es el de la brecha de la pobreza, el cual se obtiene haciendo
:
que no es más que el promedio
de las brechas de pobreza de la población (expresadas en
proporción), donde los no pobres tienen brecha igual a
cero. Este indicador puede reescribirse como:
donde es llamado
indicador de la intensidad de la pobreza ya que mide la brecha
(en proporción) entre la línea de la pobreza
y el ingreso promedio de los pobres.
,
sin embargo, no es una buena medida de la pobreza ya que, por
ejemplo, si un pobre hace lo suficiente para que su ingreso supere
la línea de la pobreza, el promedio del resto de pobres
debería caer y por tanto
aumentar.
Esta es una situación contraria a lo que cabría
esperar ya que si uno de los pobres mejora su situación
y ninguno empeora el indicador de pobreza debería reducirse.
Lo anterior no se produce si
es multiplicado
por
, es decir,
registrará una declinación si ocurre lo señalado
en el ejemplo.
La brecha de la pobreza también
puede interpretarse como indicador del monto necesario para
eliminar la pobreza efectuando transferencias a los pobres.
El costo mínimo de estas transferencias no es más
que la suma de todas las brechas de una población (considerando
una brecha igual a cero para los no pobres), es decir, la suma
de lo que tendría que entregarse para que el ingreso de
cada persona pobre alcance la línea de la pobreza:
El costo mínimo para eliminar
la pobreza vía transferencias se lograría si el
gobierno tuviera la información suficiente para llegar
a cada uno de los pobres, mientras que el costo máximo
sería en el caso que el gobierno no contara con ninguna
información sobre los pobres; es decir, tendría
que dar a toda la población el equivalente a z para asegurarse
que ninguno sea pobre, o sea, una cantidad igual a .
Observando la expresión sobre
puede notarse que este indicador no es más que el ratio
entre el mínimo y máximo costo.
El indicador de la brecha de la pobreza
si bien muestra qué tan pobres son los pobres, tiene la
desventaja de que no puede capturar bien las diferencias existentes
entre la situación de los más pobres con respecto
a la de los menos pobres. Por ejemplo, si se tiene 2 distribuciones
de ingreso familiar para 4 personas: la distribución A
igual a (1, 2, 3, 5) y la distribución B igual a (2, 2,
2, 5) y una línea de pobreza z=3, entonces el indicador
de incidencia de pobreza en ambas distribuciones
será igual a 3/4 = 0.75 y el indicador de la brecha de
la pobreza
también en ambos casos
será igual a 0.375. Sin embargo, en A el más pobre
tiene solo la mitad del ingreso del más pobre de B. Si
el menos pobre de A transfiere 1 al más pobre, la distribución
de A será igual a la de B, no habiéndose afectado
el indicador de la brecha de la pobreza por tal transferencia.
Es decir, es un indicador insensible a la situación de
pobreza entre los pobres. Desde este punto de vista un mejor
indicador es el de la severidad de la pobreza
,
el cual da un mayor peso a las brechas de los más pobres
y se obtiene haciendo :
es decir, sumando las brechas de pobreza
de la población, dando un peso mayor a las brechas de los
más pobres. Como los pesos dados son las proporciones
de pobreza de ellos mismos, una brecha de 10 % respecto a la línea
tendrá un peso de 10 %, mientras que una de 40 % tendrá
un peso de 40 % (nótese que en
las brechas tienen el mismo peso). En el ejemplo, la distribución
A tiene un
igual a 0.219, mientras que
la B un
igual a 0.187. Es decir, en
A la pobreza tiene un grado de severidad mayor que en B.
Una desventaja del indicador de severidad
de la pobreza es que no es de muy fácil interpretación
como los indicadores de incidencia o brecha de la pobreza. Aunque,
como se ha mostrado, es bastante clara su capacidad para ordenar
distribuciones de ingreso (o cualquier otro indicador de niveles
de vida).
Una de las ventajas de esta clase de
indicadores es que cumplen con la propiedad de descomposición,
lo cual posibilita que sea utilizado para fines de política
económica, especialmente para efectos de un uso más
eficiente de los recursos fiscales destinados al gasto social3 .