ANEXO METODOLOGICO
El presente informe metodológico
describe las técnicas específicas utilizadas en la Investigación,
que se basa en un modelo estadístico de corte transversal, tal
como fuera explicado en el Capítulo III, correspondiente a Métodos.
Así mismo, refleja
y recoge las características de las fuentes de información
utilizadas. En ese sentido, la información principal corresponde
a la fuente ENAHO y en particular el método de Medición
de la Pobreza a partir de la Canasta Mínima de Consumo, lo cual
está desarrollado en los Puntos 1 y 2 de este Anexo.
Cabe precisar también
que sobre la base de esta metodología se han podido elaborar
los Cuadros del Nē 1 al Nē 13, donde se cruzan todas las variables previamente
identificadas, con los niveles de pobreza a fin de analizar los determinantes
del empleo adecuado en las PYME, que es el objeto principal de la presente
investigación, de allí la importancia de dichas fuentes.
Finalmente también
cabe resaltar, que para la elaboración de los cuadros, se ha
trabajado con cifras absolutas normalizadas de acuerdo a los factores
de expansión, utilizados en el INEI, para los períodos
analizados, 1995-98 y también se han desarrollado cuadros de
distribución porcentual, sobre la base de un análisis
vertical de dicha información, la misma que aparece en los Cuadros
correspondientes al Anexo II "Cuadros Estadísticos". Dichos Cuadros
son los que han permitido analizar los resultados principales de la
investigación y confrontar las hipótesis de entrada, con
el comportamiento de los determinantes del empleo adecuado.
Pro otro lado, este Anexo
también incluye las fuentes de Encuesta Nacional de Sueldos y
Salarios, el Censo Nacional Económico y el IV Censo de Población
IX de Vivienda, reflejando el objetivo y características principales
de las mismas.
Con relación a la Encuesta
Nacional de Sueldos y Salarios, se ha podido elaborar los Cuadros Nē
14, Nē 15 y Nē 16, que fueron analizados conjuntamente, correspondiendo
a las variables indicadas en las fichas técnicas.
Respecto al CENEC, sirvió
de base para la elaboración de los Cuadros del Nē 17 hasta el
Nē 22, según ficha técnica, también analizadas
conjuntamente.
Finalmente, el IX Censo de
Población y IX de Vivienda, fueron utilizados para la confección
de los Cuadros Nē 23 al Nē 27, siendo objeto de análisis en el
Capítulo correspondiente.
1.- ANALISIS DE LOS
DETERMINANTES DE EMPLEO ADECUADO SEGUN NIVELES DE POBREZA
1995-1998 (FUENTE ENAHO)
A continuación se presenta
la aplicación de las técnicas metodológicas para
el análisis de las diversas variables identificadas en el estudio
de investigación, de acuerdo a los niveles de pobreza, tomando
como base la encuesta ENAHO, para el período 1995-1998. En la
última parte, también se brinda una explicación
teórica y cuantificada del método de línea de pobreza
a partir de la Canasta Mínima de Consumo, que ha servido de base
a la presente investigación.
1.1 OBJETIVOS
Presentar la metodología
de trabajo utilizada en la elaboración de los Cuadros (del Nē
1 al Nē 13), con resultados según número de personal ocupado,
por estratos de tamaño de establecimientos, según los
niveles de pobreza, de acuerdo al método de Canasta Mínima
de Consumo.
1.2 DESARROLLO METODOLOGICO
1.2.1 Base de Datos
Las Bases de Datos utilizadas
han sido elaboradas en el software del SPSS, contiene información
de la ENAHO de los periodos 1995, 1996, 1997 y 1998; correspondientes
al cuarto trimestre, que es el único que contiene información
relativa a los niveles de pobreza.
1.2.2 Tabulados
Los tabulados muestran los
resultados globales de la información según variable;
así, se han evaluado 14 indicadores, de los cuales 12 tiene una
estructura comparativa en el tiempo (Cuadros Nē 1 al Nē 12, análisis
dinámico), 2 tabulados se presentarán en forma coyuntural
para 1998 (Cuadros Nē 13 A y Nē 13 B, análisis estático),
debido a que no fueron consideradas por la encuesta ENAHO en los años
anteriores.
1.2.3 Variables
Se presentan la información
según número de personal ocupado, por estratos de tamaño
de establecimiento, para cada variable, según se hace referencia
en los cuadros del tabulador.
Análisis dinámico:
1. Principales ocupaciones
2. Actividades principales
3. Categoría
ocupacional en su actividad principal
4. Actividad secundaria
5. Categoría
de ocupación en actividad secundaria
6. Horas trabajadas
en actividad principal
7. Horas trabajadas
en actividad secundaria
8. Tramo de ingreso
en su actividad principal
9. Tramo de ingreso
en su actividad secundaria
10. Sexo
11. Nivel educativo
12. Grupos de edad
Análisis estático:
13 A Tipo de pago
o ingreso
13 B Antigüedad
en el trabajo
1.2.3.1 Características
de las variables
La información se presenta
por tamaño de establecimiento, a nivel del área urbana
y por Zonas. Asimismo, el quiebre se presentará por Niveles de
Pobreza.
La configuración de
la información tiene una distribución diferenciada para
los diferentes años del análisis.
1.2.3.2 Elaboración
de las variables
Para la elaboración
de las estadísticas presentadas, se tuvieron que construir algunas
variables complementarias para su especificación.
NIVELES DE POBREZA
La variable pobreza tiene
los siguientes niveles:
No pobre
Pobre
Pobre extremo
Para los años 1998
y 1997 han venido establecidas en la sumaria de la data, se tuvieron
que contrastar con la base de datos original.
Para los años 1995
y 1996 se tuvieron que elaborar dichas variables mediante las especificaciones
técnicas planteadas por el INEI, tomando como base los factores
de expansión del III Trimestre.
ESTRATO DE TAMAÑO
DE ESTABLECIMIENTO.- Esta variable tiene los siguientes niveles
según personal ocupado:
De 1 a 4 personas ocupadas
De 5 a 10 Personas ocupadas
De 11 a 20 Personas ocupadas
De 21 a 50 Personas ocupadas
De 51 a 200 Personas ocupadas
De 201 a más Personas
ocupadas
Para los años 1995
a 1997 se tuvieron que reevaluar los niveles por tener una estructura
diferente dicha variable en la encuesta. Determinándose construir
como último nivel de 51 a más personas ocupadas (variable
complementaria) para un mejor análisis dinámico en el
tiempo.
PERSONAL OCUPADO
Esta variable ha sido elaborada
de la misma metodología que el Instituto viene desarrollando
en los últimos años.
Para la definición
de esta variable se ha tenido que realizar un arreglo conjunto de las
siguientes variables concernientes a la condición de actividad:
Tener 14 años a más.
Haber trabajado más
de 14 horas en la semana.
Haber trabajado durante la
semana pasada o
Tener un empleo fijo que próximamente
volverá o
Tener un negocio propio que
próximamente volverá.
1.3 PROBLEMAS
ENCONTRADOS EN LA INVESTIGACION:
- Las bases de datos
no se encontraban depuradas.
- Las etiquetas de las
variables variaban de año a otro.
- Las bases de datos
no tenían insertadas la categoría de niveles de pobreza
por registro.
- No se contó
con una librería resumen de las variables de las bases de datos.
- La información
de los Años 1995, 1996 y 1997, carecía de data respecto
a una serie de variables que fueron planteadas en la propuesta original
de la Investigación: Antigüedad, tipo de pago ingreso,
que sólo permitió hacer el análisis en 1998.
Hubieron otras variables que no se pudo encontrar en el IV Trimestre
analizado para todo el período (1995-98): lugar de desempeño,
tipo de contrato y registro en planillas, por lo que se debió
prescindir de su análisis.
1.4 MEDICION DE LINEA DE
POBREZA
1.4.1 Fuentes de Información
para la Medición de la Pobreza
El Censo de Población
y Vivienda (CPV) y las Encuestas de Hogares (ENAHO) han sido las dos
fuentes de información más importantes que se ha venido
empleando para medir los niveles de vida y pobreza en el Perú.
En el caso del método
de la Línea de la Pobreza, éste fue aplicado a los datos
provenientes de ENAHO, para analizar detalladamente las características
y determinantes de la pobreza en el país.
1.4.2 Cuestionarios empleados
El cuestionario empleado en
1997 presenta una reestructuración, con relación al de
1995 y 1996, con el fin de mejorar la captación de los gastos
familiares. Esto implica un mayor detalle de casi todas las preguntas
(como las referidas a los gastos en alimentos consumidos fuera del hogar,
electrodomésticos y salud), una desagregación mayor de
algunas opciones de respuesta (de los gastos en alimentos consumidos
fuera del hogar, electrodomésticos y salud), una desagregación
mayor de algunas opciones de respuesta (de los gastos en alimentos consumidos
dentro del hogar, en transportes y comunicaciones, entre otros), una
ampliación del periodo de referencia para algunos rubros (como
los referidos a los gastos en muebles y enseres, enseñanza, salud
y servicios médicos) y la incorporación de nuevos rubros
(gastos en transferencias, en construcción y ampliación
de la vivienda, y en donaciones, regalos o autosuministro de bienes
diferentes a los alimentos y servicios básicos).
En concreto, en el rubro "alimentos,
bebidas y tabaco" se incorporaron preguntas que permiten obtener información
sobre:
Frecuencia, cantidad,
unidad de medida y monto total, tanto de la compra en efectivo como
de lo adquirido mediante autoconsumo, autosuministro, regalo, donación
y como parte de pago a un miembro del hogar, de los alimentos consumidos
dentro del hogar. En las ENAHO 1995-IV y 1996-IV solo se preguntó
por el monto gastado en cada uno de los ítems.
Los 48 ítems
de consumo con mayor frecuencia e importancia dentro del presupuesto
familiar. En las ENAHO 1995-IV y 1996-IV se tuvo en consideración
una desagregación de 27 ítems de consumo.
El gasto en "alimentos
consumidos dentro del hogar obtenidos de instituciones benéficas"
(Comedores populares, Club de madres, Cocinas populares, entre otros),
considerando la frecuencia de compra o regalo, raciones consumidas,
miembros beneficiados y monto del pago efectuado, desagregado por
tipo de institución y tipo de comida. Este rubro estuvo considerado
dentro de las ENAHO 1995-IV y 1996-IV en la opción "Otros gastos
en alimentos".
El gasto en "alimentos
consumidos fuera del hogar" efectuado por cada uno de los miembros
del hogar de 14 y más años de edad, teniendo en cuenta
el tipo de alimento (desayuno, almuerzo, cena y otros) y la frecuencia
de consumo, así como el lugar y el monto pagado por el mismo.
En las ENAHO 1995-IV y 1996-IV esta información fue proporcionada
por el ama de casa o el jefe de hogar.
En los demás rubros
de gasto se incorporaron preguntas que permitieron, entre otros:
- Registrar el monto
por la compra efectuada y la estimación del valor del producto
o servicio que es autoconsumido, autosuministrado, regalado, donado
o recibido como parte de pago a un miembro del hogar. En las ENAHO
1995-IV y 1996-IV sólo se preguntó por el monto gastado
en cada uno de los ítems.
- Ampliar el periodo
de referencia del gasto en algunos rubros (con relación al
de las ENAHO 1995-IV y 1996-IV) cuya frecuencia es bastante reducida
a lo largo de un año: en "muebles y enseres" de tres a doce
meses, en "salud y servicios médicos" de tres meses a seis
meses, y en algunos rubros referidos a "enseñanza" de un mes
a doce meses.
- Obtener información
sobre el valor de imputación del alquiler por las viviendas
propias, con precios más cercanos a los del mercado, proponiéndose
utilizar para tal efecto una pregunta en la que indiquen el monto
estimado que creen pueden pagarle por el alquiler de la vivienda que
ocupa. En las ENAHO 1995-IV y 1996-IV se utilizó una pregunta
en la que se indicaba el monto que pagarían por el alquiler
de su vivienda, con lo que tendía a sobrevalorarse la información.
- Que los propios involucrados
en los gastos en educación, transporte público, teléfono
y salud informen directamente al entrevistador, con el propósito
de capturar información más confiable sobre los gastos
realizados en tales rubros. En las ENAHO 1995-IV y 1996-IV esta información
se obtuvo del ama de casa o del jefe de hogar.
- Obtener un mayor detalle
(con relación al de las ENAHO 1995-IV y 1996-IV) sobre los
gastos en: "servicio de la vivienda", "muebles y enseres", "salud
y servicios médicos" y "esparcimiento, diversión, servicios
culturales, y enseñanza".
- Capturar información
sobre las transferencias de dinero a otros hogares, instituciones
privadas y estado; por la compra a plazos de la vivienda; por ampliación
o modificación de la vivienda; por adquisición de vehículos
y otros bienes duraderos. En los Cuestionarios de las ENAHO 1995-IV
y 1996-IV no existen estos rubros.
1.4.3 Indicadores de pobreza
Determinado el indicador de
bienestar (ingreso o consumo) y el mínimo necesario para la sobrevivencia
(línea de pobreza), debe agregarse esta información en
un índice de pobreza. Con el método de medición
de la línea de la pobreza, y de acuerdo a sus desarrollos recientes,
este índice debe mostrar no solo la incidencia de la pobreza,
sino también su intensidad y su severidad. Considerando al gasto
como indicador de bienestar, estas dimensiones se miden del siguiente
modo:
1. El indicador de incidencia
de la pobreza (extensión o prevalencia) es el más simple
y más común, el cual está dado por la proporción
de la población cuyo gasto per cápita es menor a la
línea de pobreza.
H = q / n
donde q es la cantidad
de personas pobres, es decir, con ingresos menores a la línea,
en una población de tamaño n.
Si la línea de
pobreza (z) se refiere sólo a los alimentos, H se referirá
a la proporción de pobres "extremos o indigentes", es
decir, aquellos cuyo gasto per cápita no supera el valor de
una Canasta Mínima de Consumo alimentario (línea de
pobreza extrema). Si z se refiere a los alimentos más los no
alimentos, H se referirá a la proporción de pobres absolutos
(extremos y no extremos), es decir, aquellos cuyo gasto per cápita
no supera el valor de una Canasta Mínima de Consumo total (línea
de pobreza absoluta). Los "no pobres" son los que tienen gastos iguales
o superiores al valor de esta Canasta.
2. El indicador de incidencia
de la pobreza tiene la ventaja de ser de muy fácil comprensión,
pero sólo es satisfactoria para algunas comparaciones de pobreza.
Su seguimiento sólo permite evaluar el progreso global en la
reducción del fenómeno, pero no medir, por ejemplo,
el impacto sobre la intensidad de la pobreza. Es decir, si una persona
pobre repentinamente se vuelve más pobre, el indicador de incidencia
de la pobreza no variará, debido a que este mide sólo
cuántos pobres existen. , mas no el grado de pobreza. El indicador
de la brecha de la pobreza (PG), si mide esta situación, el
cual se obtiene promediando el déficit de gasto de la población
respecto a la línea de la pobreza (considerando la brecha de
los no pobres igual a cero):

Si sólo se considera
el déficit de gasto de la población pobre se tendría
lo que se conoce como el indicador de la intensidad de la pobreza.
El indicador de la brecha
de la pobreza, si bien muestra que tan pobres son los pobres, tiene
la desventaja de que no puede capturar bien las diferencias existentes
entre la situación de los más pobres con respecto a
la de los menos pobres.
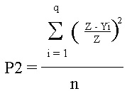
3. Un indicador que
sí considera la situación de los más pobres es
el de la severidad de la pobreza (P2), el cual da un mayor peso al
déficit de gasto de los más pobres, (a diferencia del
indicador de incidencia de la pobreza que da el mismo peso a todas
las brechas):
Una desventaja del indicador
de severidad de la pobreza es que no es de muy fácil interpretación
como los indicadores de incidencia o brecha de la pobreza.
1.4.4 Determinación
de las Líneas de Pobreza para 1997
Para determinar los niveles
de pobreza en 1997, se estimó las líneas teniendo en consideración
el valor de tres Canastas de Consumo (para la Costa, Sierra y Selva),
a partir de los datos de la ENAHO sobre Niveles de Vida y Pobreza ejecutada
entre setiembre y diciembre de 1997. Cada una de estas canastas, por
la forma en que han sido construidas, garantizan por lo menos la satisfacción
de las necesidades básicas de la población.
La disponibilidad de información
de dicha encuesta ha permitido actualizar las pautas de consumo de los
hogares, contenidas en las Canastas que se han utilizado en el Perú
para definir las líneas de pobreza.
La Población de
referencia
Conceptualmente, las pautas
de consumo alimentario que se utilizan para determinar las líneas
de pobreza tienen que derivarse de una población de referencia,
la cual debe ser representativa del país y consumir para satisfacer
por lo menos los requerimientos nutricionales mínimos que garanticen
la sobrevivencia humana. Adicionalmente, esta población de referencia
debe permitir la estimación del coeficiente de Engel y con ello
la estimación de la línea de pobreza total. Además,
para este propósito se tuvo en consideración las diferencias
geográficas del país, es decir, se definió poblaciones
de referencia para las regiones Costa, Sierra y Selva.
Los pasos seguidos en este
aspecto fueron los siguientes:
- Se homogeneizó
la variable "cantidad consumida de alimentos" a un solo periodo de
referencia y una sola unidad de medida, para luego obtener la variable
cantidad per cápita diaria.
- Se determinó
el nivel calórico ingerido por cada hogar, multiplicando la
cantidad consumida de alimentos y el equivalente calórico por
unidad de medida, correspondiente a cada uno de los 48 ítem
de consumo considerado en la Encuesta.
Para los ítems homogéneos
(arroz, azúcar, huevo, queso, fresco, etc.) la conversión
se hizo de manera directa, mientras que para los ítems heterogéneos
(papa y otros tubérculos, carne de res y otras carnes rojas,
mariscos, otras frutas, etc.) se tuvo en consideración la composición
de cada uno de ellos y la región natural al que pertenecía
el hogar. Para tal efecto se utilizó la información desagregada
del consumo alimentario contenidas en las hojas de datos básicos
utilizadas por las encuestadoras de la ENAHO.
Obtención de las
Canastas Alimentarias
Las canastas básicas
de consumo alimentarios para la Costa, Sierra y Selva, correspondiente
a la población de referencia, se obtuvieron del siguiente modo
(Cuadro Nē A):
- Se obtuvo el tabulado
que contiene la cantidad consumida en gramos per cápita diaria
por regiones naturales.
- Para que las Canastas
alimentarias de cada región sean comparables entre ellas e
impliquen el consumo mínimo de ingesta de nutrientes, cada
una fue ajustada, multiplicando las cantidades de cada ítem
por el factor "2318 / nivel calórico de la canasta observada"
de cada región. De este modo se obtuvieron las Canastas para
las tres regiones, cada una con un nivel calórico de 2,318
kcal.
Valor de las Líneas
de Pobreza
Para la valoración
de las Canastas alimentarias y obtención de las líneas
de pobreza se tuvo en cuenta lo siguiente:
- Las Canastas Alimentarias
(de la Costa, Sierra y Selva) se valoraron con siete diferentes niveles
de precios (las medianas), correspondiente a los dominios geográficos
Costa Urbana y Rural, Sierra Urbana y Rural y Selva Urbana y Rural,
y Lima Metropolitana. Estos precios se obtuvieron dividiendo el monto
de la compra y la cantidad adquirida por parte de la población
de referencia, para cada uno de los ítems de alimentos.
- El Cuadro B muestra,
para los ítems más o menos homogéneos y sólo
para los ámbitos urbanos, la similitud que existe entre los
niveles de precios implícitos y los que se capta para estimar
el Indice de Precio al Consumidor (IPC) en el ámbito de las
grandes ciudades del país. De esta manera se verifica la calidad
de la información.
- La suma de los valores
de las canastas para cada dominio, multiplicado por 30 días,
definieron las líneas de pobreza extrema, como se puede apreciar
en el punto 3.1.4.4
- Las líneas
de pobreza absoluta se obtuvieron multiplicando el valor de la línea
de pobreza extrema por la inversa del coeficiente de Engel (gasto
alimentario / gasto total) perteneciente a la población de
referencia de cada dominio. Los valores de estas líneas a nivel
per cápita y familiar pueden se aprecian también en
el Punto 3.1.4.4
2 FUENTE: ENAHO
2.1 OBJETIVOS:
- Determinar la Población
Económicamente Activa (PEA), relacionada con sus características
en cuanto a sexo, edad, nivel educativo, estado civil, migración,
ocupación categoría de ocupación y rama de actividad
económica.
- Determinar la PEA
ocupada, relacionándola con sus características en cuanto
a sexo, edad, nivel educativo, estado civil, migración, ocupación,
categoría de ocupación, rama de actividad económica,
horas trabajadas y nivel de ingreso percibido.
- Determinar la población
Económicamente Inactiva, relacionándola con sus características
en cuanto a sexo, edad, nivel educativo, estado civil y migración.
- Obtener información
sobre la estructura y tendencias de cambio en la fuerza laboral a
través de sus características socioeconómicas
básicas.
- Caracterizar los niveles
de empleo según estratos socioeconómicos.
- Determinar la estructura
del Ingreso de los Hogares.
Obtener Indicadores
del Ingreso por Trabajo.
- Evaluar la mano de
obra existente en el país y su grado de aprovechamiento, facilitando
la formulación y ejecución de los planes de desarrollo.
- Proveer información
periódica, sistemática y oportuna en los períodos
intercensales.
- Servir de fuente de
información a instituciones públicas y privadas, así
como a universitarios e investigadores interesados en temas relativos
a las condiciones de vida de los hogares.
- Efectuar diagnósticos
(anuales) sobre las condiciones de vida y pobreza de la población.
- Medir el alcance de
los programas sociales y la mejora de las condiciones de vida de la
población.
- Posibilitar la comparabilidad
con investigaciones similares, con relación a las variables
investigadas.
2.2 TIPO DE ENCUESTA
La Encuesta es de derecho,
es decir, la población en estudio está constituida por
los residentes habituales del hogar.
2.2.1 Periodicidad
La Encuesta Nacional de Hogares
(ENAHO) 1997, es una encuesta permanente en la cual la recopilación
de información se efectúa trimestralmente durante todo
el año que dura la encuesta.
Los períodos de referencia
para las variables investigadas son las siguientes:
- Temas de Empleo : Semana
anterior
- Temas relacionados al Ingreso del Hogar:
- Ordinarios : Mes
anterior o Semana anterior.
- Extraordinarios : Trimestre
anterior.
Para los cuartos trimestres
se incorpora el módulo referido a la estructura de Consumo de
los Hogares; teniendo como período de referencia los últimos
15 días.
2.2.2 Cobertura Geográfica
La Encuesta es a nivel nacional,
en el área urbana y rural de los 24 departamentos y la Provincia
Constitucional del Callao.
2.2.3 Universo
La población bajo
estudio incluye a los hogares y sus habitantes, residentes permanentes
en unidades de vivienda del área urbana y rural del país.
- Area Urbana
Se define como urbana
a la población residente en los Centros Poblados con 2000 y
más habitantes.
- Area Rural
Constituye la población
que reside en Centro Poblados con menos de 2000 habitantes.
Se excluye del estudio
a la población residente en las viviendas colectivas (hoteles,
hospitales, asilos, claustros religiosos, cárceles, bases militares,
etc.).
2.2.4 Marco Muestral
La información básica
del marco muestral de la Encuesta Nacional de Hogares proviene de los
censos de Población y Vivienda de 1993 y el material cartográfico
respectivo.
2.2.5 Tipo de Muestreo
Cada muestra trimestral es:
- Probabilística.
- De áreas.
- Multietápica.
- Estratificada.
- Independiente en
cada departamento.
- Rezagado de periodicidad.
2.2.6 Unidades de Muestreo
La Unidad Primaria de Muestreo
(UPM), es el centro poblado urbano (con 2000 y más habitantes).
La Unidad Secundaria de Muestreo
(USM), es el segmento que tiene en promedio 100 viviendas particulares.
La Unidad Terciaria de Muestreo
(UTM), es la vivienda particular.
La Unidad Primaria de Muestreo
(UPM), es el centro poblado con menos de 2000 y más de 500 habitantes,
y el Area de Empadronamiento Rural (AER) que tiene en promedio 100 viviendas
particulares.
La Unidad Secundaria de Muestreo
(USM), es el conglomerado que tiene en promedio 100 viviendas particulares
y las viviendas particulares de las AER seleccionados.
La Unidad Terciaria de Muestreo
(UTM) es la vivienda particular.
2.2.7 Tamaño de
la Muestra
1995
La muestra para el estudio
para los cuatro trimestres es de aproximadamente 20,000 viviendas particulares
a nivel urbano nacional, abarcando todos los departamentos.
1996
Para el primer trimestre la
muestra comprende 20,000 viviendas particulares, para el segundo trimestre
19,000, para el tercero 18,000 y para el cuarto 17,000, todas en el
ámbito urbano nacional, abarcando todos los Departamentos.
1997
La muestra para el primer
trimestre comprende 13,000 viviendas particulares para el segundo 14,000
y para el tercero 13,000 en el ámbito urbano nacional, abarcando
8 Regiones. Para el cuarto trimestre se incorpora el estudio del ámbito
rural teniendo un tamaño de muestra de viviendas particulares
a nivel nacional de 7,200, perteneciendo 4,320 al área urbana
y 2,880 al área rural, abarcando 4 Regiones.
1998
En el primer trimestre la
muestra comprende 2,600 viviendas particulares a nivel de Lima Metropolitana;
en el segundo trimestre abarca 7,200 viviendas recolectadas a nivel
nacional tanto en el ámbito urbano como el rural, tomado de 4
regiones; en el tercer trimestre la muestra comprende 9,015 viviendas
a nivel urbano nacional de 4 regiones, y en el cuarto trimestre la muestra
abarca 7,938 viviendas tanto del ámbito urbano como del rural
a nivel nacional, tomado de 4 regiones.
2.2.8 Niveles de Inferencia
Los resultados de la Encuesta
Nacional de Hogares tienen el nivel de inferencia siguiente:
- Nacional Urbano y
Rural
- Áreas geográficas:
Costa, Sierra, Selva y Lima Metropolitana
2.2.9 Selección
de la Muestra
El método de selección
aplicado a la muestra en estudio, es el método sistemático.
Este consiste en el reordenamiento de las unidades de área en
cada etapa, y luego la selección de la muestra en forma sistemática,
con probabilidad proporcional al tamaño. La medida del tamaño
fue el número de viviendas.
2.3 METODOS DE ESTIMACIÓN
La metodología para
la estimación de resultados de la encuesta, involucra el uso
de un peso o factor de expansión para cada vivienda de la muestra,
el mismo que es multiplicado a todos los datos conformantes del hogar
correspondiente.
El peso básico para
cada vivienda seleccionada es igual al inverso de su probabilidad de
selección (calculado multiplicando las probabilidades de cada
etapa de muestreo)
2.4 EVALUACIÓN MUESTRAL
En el sentido estadístico,
Error se refiere a la desviación de una estimación, del
verdadero valor que se supone calcule. La exactitud se define como la
tendencia del estimador a producir valores cercanos al parámetro
o valor verdadero.
El Error Total tiene dos
componentes:
- El Error Muestral,
son atribuciones, propias de la inferencia estadística aplicadas
a las unidades muestrales observadas.
- El Error No Muestral,
es atribuido a errores de procedimiento aplicativo, generalmente en
los aspectos de medición y análisis.
3. FUENTE: ENCUESTA
DE SUELDOS Y SALARIOS 1995-98
3.1 OBJETIVOS
- Determinar el nivel
y las tendencias que muestran los sueldos y salarios nominales y reales,
en los distintos sectores económicos del área urbana
del país.
- Determinar el comportamiento
de las otras variables del mercado de trabajo y su influencia en el
nivel de las remuneraciones y del empleo, como la negociación
colectiva, turnos de trabajo, horas laboradas, categoría ocupacional,
aportaciones patronales.
3.2 TIPO DE ENCUESTA
3.2.1 Periodicidad
La Encuesta se efectúa
trimestralmente, obteniéndose información de remuneraciones
del último mes del respectivo trimestre.
3.2.2 Cobertura Geográfica
Se realiza a nivel Nacional-Urbano
con alcance a 26 principales ciudades del Perú: Lima Metropolitana,
Arequipa, Trujillo, Piura, Iquitos, Cusco, Chimbote, Tacna, Huánuco,
Ica, Pucallpa, Juliaca, Puno, Puerto Maldonado, Tarapoto, Huancayo,
Tumbes, Cerro de Pasco, Huancavelica, Huaraz, Moquegua, Ayacucho, Cajamarca,
Abancay, Chiclayo y Chachapoyas.
3.2.3 Universo
El universo comprende a todos
los trabajadores ocupados en las empresas de régimen laboral
de la actividad privada, que cuentan con un número de personal
de 10 a más, y ubicados en las 26 ciudades principales del país.
Unidad de estudio : El
trabajador
Unidad de selección : La
empresa
3.2.4 Marco Muestral
El marco muestral está
conformado por las empresas que tienen 10 o más trabajadores,
extraídos de los directorios siguientes:
- Hoja de Resumen de
Planillas que las empresas presentaron al MTPS.
- Otros Directorios
(SUNAT, MITINCI, etc.).
3.2.5 Tipo de Muestreo
La muestra es Probabilística,
Bietápica, Estratificada y Sistemática.
Probabilística, porque
cada empresa tiene una probabilidad conocida de ser seleccionada en
la muestra, siendo esta probabilidad mayor a cero.
Bietápica, porque la
muestra se seleccionó en dos etapas, considerándose como
primera unidad de selección las ciudades y como la segunda a
las empresas.
Estratificada, porque antes
de seleccionar la muestra de empresas, se estratificó el marco
por ramas de actividad económica y tamaño de empresa.
Sistemática, porque
antes de seleccionar las unidades en cada estrato, se ordenaron en forma
descendente a los promedios de remuneración y luego se seleccionó
las empresas eligiendo una cada cierto número constante de las
mismas.
El muestreo se realizó
por dominios, habiéndose considerado dos:
1.- Lima Metropolitana
2.- El Resto Urbano,
que comprende las otras 25 ciudades principales.
Para el criterio de asignación
de la muestra por estrato se emplea el método de la afijación
óptima, teniendo como variable de referencia las desviaciones
estándar de los promedios de remuneraciones. Además, se
toma por censo todas las Empresas con 500 y más trabajadores
en Lima Metropolitana; y todas las empresas con 100 y más trabajadores,
para el caso de las 25 ciudades principales.
Para el dominio del Resto
Urbano (25 ciudades), a partir de la Encuesta de Diciembre 1997 se incrementó
la muestra, a fin de obtener representatividad en cada ciudad. Significando
una ampliación de la muestra en 374 empresas.
3.2.6 Estratificación
de la Muestra
Antes de efectuar la selección
de la muestra, el Marco Muestral se estratificó, por ramas de
actividad económica y tamaño de empresa (número
de trabajadores).
Se construyeron 48 estratos,
definidos por el cruce de 12 ramas de actividad económica y 4
tamaños de empresas para Lima Metropolitana; mientras que para
el resto de ciudades se construyeron 20 estratos, definidos por 10 ramas
de actividad económica y 2 tamaños de empresa.
ACTIVIDADES ECONOMICAS
TAMAÑO DE EMPRESA
- Lima Metropolitana
| Número
de Trabajadores | Tamaño |
| 10 - 49 | 1 |
| 59 - 99 | 2 |
| 100 - 499 | 3 |
| 500 y más | 4 |
- Resto de Ciudades
| Número
de Trabajadores | Tamaño |
| 10 - 99 | 1 |
| 100 y más | 3 |
3.2.7 Tamaño de
la Muestra
El tamaño de muestra
es de aproximadamente 1,774 empresas, comprendiendo 700 para la ciudad
de Lima Metropolitana y de 1,074 para las 25 ciudades restantes.
3.3 TASA DE RESPUESTA
La información se
recolecta a través del método de entrevista directa en
las empresas, lo cual permite que se obtenga tasas de respuestas cercanas
al 100%, proporcionando así mayor confiabilidad en los resultados.
3.4. RECOLECCION DE LA
INFORMACION
El método de recolección
de la información es la entrevista directa en la empresa seleccionada,
a través de la lectura directa de la información de remuneraciones
contenida en las planillas de pagos, boletas de pago u otros documentos
complementarios.
4. FUENTE: CENSO NACIONAL
ECONOMICO - 1993
La información estadística
presentada corresponde a las labores de procesamiento de 390 mil empresas
y establecimientos censados en el III Censo Nacional Económico
ejecutado en los años 1993-94.
La investigación estadística
se realizó por módulos regionales. En el año 1993,
durante los meses de Abril y Junio, se ejecutó en Lima Metropolitana
el primer módulo; en los meses de Octubre a Diciembre en las
regiones de Chavín Inka, La Libertad, José Carlos Mariátegui
y San Martín se trabajó el segundo módulo; y durante
1994 el tercer módulo, en las Regiones Andrés Avelino
Cáceres, Arequipa, Grau, Libertadores Wari, Lima Provincias,
Loreto, Nor Oriental del Marañón y Ucayali. Los períodos
de referencia de la información solicitada a través de
la Cédula Censal, correspondieron a 1991 en el caso del primer
módulo, a 1992 en el caso del segundo y 1993 en el del tercero.
En la investigación
conjuntamente al procedimiento estadístico Censo, se aplicó
el procedimiento estadístico denominado muestra, el cual fue
aplicado a los distritos con menos de 100 establecimientos registrados
en el momento del Registro Precensal de 1991.
Las empresas y establecimientos
que iniciaron sus actividades en años posteriores a los años
de referencia antes indicados también tuvieron que diligenciar
la cédula censal en los capítulos de identificación,
ubicación y categoría del establecimiento, con estas precisiones,
las empresas y establecimientos que presentaron la información
en forma integral asciende a 236 Mil.
Los resultados obtenidos son
producto de la combinación de dos métodos de procesamiento
utilizados: el de la lectora óptica, método empleado para
la publicación de los primeros resultados, y el de la digitación
total, mediante el cual se procesó la información de todas
las variables relevadas.
El diseño muestral
establecido por el III CENEC, para los distritos antes citados, garantiza
una representatividad de la información en el ámbito provincial,
por ello en las provincias que cuentan con uno o más distritos
con las características antes indicadas se seleccionó
por lo menos uno de este tipo.
En las actividades de Comercio
y Servicio, de Reparación de Vehículos Automotores, Efectos
Personales y Enseres Domésticos, no se investigó a los
establecimientos que se dedican a la venta o prestación de servicios
de carácter ambulatorio.
De igual forma en la actividad
de Transporte, no se investigaron los establecimientos que desarrollan
actividades de transporte urbano, como los servicios de taxis, microbuses,
etc.
No se investigaron las actividades
económicas de Agricultura, Ganadería, Caza, Silvicultura
y Actividades de servicios conexos, ya que fueron materia del III Censo
Nacional Agropecuario ejecutado entre los meses de Octubre y Noviembre
de 1994.
Se excluyeron además
de esta investigación a los establecimientos de la Administración
Pública y Defensa, Planes de Seguridad Social de Aplicación
Obligatoria, Enseñanza Pública, Servicios Sociales y de
Salud Pública, Hogares con Servicio Doméstico y Organizaciones
y Organos Extraterritoriales.
CODIFICACION
La codificación asignada
a las actividades económicas ha sido definida de la siguiente
manera:
- Los cuatro primeros
dígitos corresponden a la Clasificación Internacional
Industrial Uniforme (CIIU - Revisión 3).
- Los dos últimos
dígitos corresponden a una clasificación más
específica dentro de cada Clase económica, denominada
Apertura, esta codificación es de uno exclusivo del III CENEC.
5. FUENTE: IX CENSO
POBLACION Y IV DE VIVIENDA
5.1 TIPO DE CENSO
El Censo de Población
fue de Hecho, es decir, que cada persona fue censada en el lugar geográfico
donde se encontraba en el MOMENTO CENSAL, independientemente del lugar
donde se ubique su residencia habitual.
El Censo de Vivienda, como
todo censo de esta naturaleza, no se considera como de Hecho, término
que se aplica sólo a los Censos de Población.
Para efectos del estudio y
análisis de sus resultados, el Censo de Vivienda estuvo referido
a la fecha establecida "Día del Censo" y fue levantado simultáneamente
con el de Población en una sola operación censal.
5.2 RECOLECCION DE INFORMACION
Teniendo en consideración
la necesidad de recopilar información censal completa y de buena
calidad y tener una base de datos censal a niveles geográficos
muy desagregados para todas las variables a investigar, la recolección
de la información fue por enumeración total; el Censo
de Población incluyó a todos los habitantes presentes
en el territorio nacional y el Censo de Vivienda, a todos los locales
destinados a habitación humana independientemente de su tipo,
en el mismo territorio.
5.3 METODO DE EMPADRONAMIENTO
Se empleó el método
de entrevista directa, utilizando personal que fue debidamente capacitado
y entrenado para tal fin, y que visitó las viviendas durante
el período de empadronamiento.
5.4 TIPO DE CEDULA CENSAL
Fue única y universal,
contiene cinco secciones, la primera referida a la localización
de la vivienda, la segunda a las características y servicios
de la vivienda, la tercera a las características del hogar, la
cuarta a las personas que conforman el hogar y la quinta sección
referida a las características de la población.
5.5 PERIODO DE RECOJO DE
INFORMACION CENSAL
El empadronamiento de la población
y de las viviendas fue con referencia al "Momento Censal" y al "Día
del Censo", las características de los mismos se referían
a ese día o a un período de tiempo perfectamente definido:
a) Día del Censo:
El día del Censo
se determinó el Domingo 11 de julio de 1993, que coincidió
con el empadronamiento en el área urbana; en el área
rural el empadronamiento se efectuó en un plazo de quince días,
entre el 12 y 26 de julio; ampliándose por algunos días
en distritos de difícil acceso.
b) Semana de referencia:
A efectos de la recopilación
de información sobre las características económicas
de la población, la semana de referencia fueron los siete días
inmediatamente anteriores al "Día del Censo".
c) Otros periodos de
Referencia
Para recopilar las características
de los movimientos migratorios, el periodo de referencia fue Julio
de 1998.
5.6 COBERTURA
5.6.1 Cobertura del Censo
de Población
El censo de Población
recopiló información de las personas que se encontraban
en el territorio nacional y en sus aguas jurisdiccionales, en el momento
censal.
5.6.2 Cobertura del Censo
de Vivienda
Su ámbito poblacional
abarcó todos los locales destinados a la habitación humana
y que son viviendas propiamente dichas y aquellas otras que sin tener
esa finalidad estuvieron habitadas en el "Día del Censo".
No se incluyeron las viviendas
en construcción o en estado ruinoso, a no ser que se encontraban
habitadas en el "Día del Censo".
5.6.3 Cobertura Geográfica
El IX Censos Nacional de Población
y IV de Vivienda se realizaron simultáneamente en el territorio
nacional y sus aguas jurisdiccionales, tanto en el área urbana,
como rural del país.
|