|
 >
Establecidos el indicador de bienestar (ingreso o consumo) y el mínimo necesario para la sobrevivencia (línea de pobreza), es decir, luego de saber quienes son o no pobres, debe agregarse esta información en un índice de pobreza. En el marco del método de medición de la línea de la pobreza, y de acuerdo a los desarrollos recientes de este método, este índice debe mostrar no solo la incidencia de la pobreza, sino también su intensidad y su severidad. Considerando al gasto como indicador de bienestar, estas dimensiones se miden del siguiente modo:
a.  El indicador de incidencia de la pobreza (extensión o prevalencia) es el más simple y más común, el cual esta dado por la proporción de la población cuyo gasto percápita es menor a la línea de pobreza. Si q es la cantidad de personas pobres, es decir, con ingresos menores a la línea, en una población de tamaño n, entonces la incidencia de la pobreza (H) será: H = q / n.

Si la línea de pobreza (z) se refiere sólo a los alimentos, H se referirá a la proporción de pobres "extremos o indigentes", es decir, aquellos cuyo gasto percápita no supera el valor de una Canasta Mínima de Consumo alimentario (línea de pobreza extrema). Si z se refiere a los alimentos mas los no alimentos, H se referirá a la proporción de pobres absolutos (extremos y no extremos); es decir, aquellos cuyo gasto percápita no supera el valor de una Canasta Mínima de Consumo total (línea de pobreza absoluta). Los "no pobres" son los que tienen gastos iguales o superiores al valor de esta Canasta.
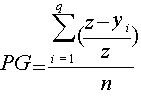
(b) El indicador de incidencia de la pobreza tiene la ventaja de ser de muy fácil comprensión, pero sólo es satisfactoria para algunas comparaciones de pobreza. Su seguimiento sólo permite evaluar el progreso global en la reducción del fenómeno, pero no medir, por ejemplo, el impacto sobre la profundidad o intensidad de la pobreza. Es decir, si una persona pobre repentinamente se vuelve más pobre, el indicador de incidencia de la pobreza no variará, debido a que este mide sólo cuántos pobres existen, pero no qué tan pobres son los pobres. El indicador de la brecha de la pobreza (PG), sí mide esta situación, el cual se obtiene promediando el déficit de gasto de la población respecto a la línea de la pobreza (considerando la brecha de los no pobres igual a cero):
donde:
Z = Línea de pobreza
Yi = Gasto del individuo i
N = Número de individuos


 
Si sólo se considerara el déficit de gasto de la población pobre se tendría lo que se conoce como el indicador de la intensidad de la pobreza.

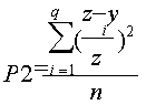
El indicador de la brecha de la pobreza, si bien muestra qué tan pobres son los pobres, tiene la desventaja de que no puede capturar bien las diferencias existentes entre la situación de los más pobres con respecto a la de los menos pobres.

(c) Un indicador que sí considera la situación de los más pobres es el de la severidad de la pobreza (P2), el cual da un mayor peso al déficit de gasto de los más pobres, (a diferencia del indicador de incidencia de la pobreza que da el mismo peso a todas las brechas):

Una desventaja del indicador de severidad de la pobreza es que no es de muy fácil interpretación como los indicadores de incidencia o brecha de la pobreza. Aunque, como se ha mostrado en el ejemplo, es bastante clara su capacidad para ordenar distribuciones de ingreso (gasto o cualquier otro indicador de niveles de vida).
